Many of our daily actions (getting up, going to work, working out...) might seem mundane, but as a whole they aggregate into something quite meaningful… our own personal existence! The same can be said about business decisions: Earning interest on a company’s idle cash might seem trivial on a daily basis but over a year its impact can be quite meaningful. Both examples can be traced back to the notion of compounding.
In finance, compounding is not a new concept. In fact, back in the 18th century Benjamin Franklin was an advocate of such a notion; so much so that he actually put it into practice himself:
When Franklin died in 1790, he left a gift of $5,000 to each of his two favorite cities, Boston and Philadelphia. He stipulated that the money was to be invested and could be paid out at two specific dates, the first 100 years and the second 200 years after the date of the gift. After 100 years, each city was allowed to withdraw $500,000 for public works projects. After 200 years, in 1991, they received the balance (*)
When that original $5,000 gift committed by Benjamin Franklin was cashed in by each city in 1991 it had compounded to an astonishing $20 million; or 4,000 times more than the original investment! This example is a good reminder of the power of investing one’s idle cash.
Further reinforcing this notion, Einstein once told about compounding: "He who understands it, earns it; he who doesn't, pays it." A business has then two options for its idle cash: Compound it in the markets or become victim to inflation eroding its purchasing power.
What asset to compound in?
The best assets to compound in are the ones which, all else being equal, experience the least volatility. This can be intuitively seen via a simple example: A stock that is down 50% and then up 50% will end up being down 25% after those moves (for example moving from $100 to $50 then back to $75). While a stock down 5% and up 5% will only be down 2.5%. This example shows how wider asset moves can be a drag on returns.
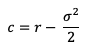
For the quantitatively inclined the negative relationship between volatility and compounding is more formally explained via this equation(**)

With c the annual compound rate, r the annual average return and sigma the volatility of the asset. The last term in the equation is known as the volatility tax: The higher the volatility of an asset the lower its compounding rate.
Corporate Bonds
For businesses, corporate bonds are a particularly good asset to compound in because of their lower volatility. As the table below shows, their return to volatility ratio is much better and their volatility tax is significantly lower than stocks.

The compounding power of corporate bonds can also be seen by taking a step back and looking at the overall performance of this asset class. Since the early 70s, $5,000 invested in a corporate bond index would have compounded into more than $170,000 today(***).
Conclusion
As the Benjamin Franklin example shows, the power of compounding can yield significant results over time, and for businesses, corporate bonds are an efficient asset to realize this. To paraphrase Benjamin Franklin: “Money should make money. And the money that money makes, makes money”. Time to make your cash perform!
(*)Source: The Elements of Investing: Easy Lessons for Every Investor.
(**) This equation follows from the assumption asset prices follow a geometric Brownian motion.
(***) Data: ICE BoA Corporate Index Total Return index value from December 1972 to April 2021.
Ben Verschuere
Chief Investment Officer
Treasure Investment Management, LLC
Disclaimer: The views and opinions in this piece are just the author's own, offered to the public at large and not to any one particular investor.




